κ΅μ‘ μΈμ
μΈμ¬μ΄νΈλ μ΄ 10νμ κ΅μ‘μΈμ
(OT ν¬ν¨)μ ν΅ν΄ μ μ
κΈ°μμ μννΈλλ©μ λλͺ¨νκ³ ,
ννμλ€μ 체κ³μ μΈ λ°μ΄ν° λΆμ λ° λͺ¨λΈλ§μ μν κΈ°μ΄λ₯Ό λ€μ§κ³ μμ΅λλ€.
κ΅μ‘ μΈμ
[νμ΄μ¬]
νκΈ° μ΄μλ Githubμ μ¬μ©λ²κ³Ό Pythonμ νμ΅ν©λλ€.
Pandasλ₯Ό μμ£Όλ‘ Pythonμ κΈ°μ΄λΆν° μ¬νκΉμ§, κ·Έλ¦¬κ³ EDAμ νμν λ°μ΄ν° μ μ²λ¦¬ λ° μκ°νλ₯Ό 3λ²μ μΈμ
μ κ±Έμ³ νμ΅ν©λλ€.
Session 0 (OT). Jupyter, Github, VScode
λ³Έ μΈμ
μ 본격μ μΈ κ΅μ‘ μΈμ
μ§νμ μμ μ¬μ νμ΅ κ³Όμ μ ν΄λΉν©λλ€.
Jupyter Notebookκ³Ό VScodeλ₯Ό μ€μΉνκ³ νμ΄μ¬ κ°λ° νκ²½ μ΄κΈ° μ€μ μ μ§ννμμ΅λλ€.
λν, κ³Όμ μ μΆ λ° ν¬νΈν΄λ¦¬μ€ κ΄λ¦¬λ₯Ό μν Github νμ© λ°©λ²μ λν΄ νμ΅νμμ΅λλ€.
Session 1. Pandas
λ³Έ μΈμ
μμλ κΈ°λ³Έμ μΈ νμ΄μ¬ λ¬Έλ²μ 볡μ΅νκ³ , Pandas λ¬Έλ²μ μ€μ λ°μ΄ν°μ μ μ©ν΄ 보μμ΅λλ€.
Session 2. EDA & μ μ²λ¦¬
λ³Έ μΈμ
μμλ λ°μ΄ν°λ₯Ό λΆμνκ³ μ΄ν΄νκΈ° μν EDAμ μ μ²λ¦¬ κ³Όμ μ λν΄ μμ보μμ΅λλ€. λν λ°μ΄ν°λ₯Ό μ½λ λ°©μκ³Ό μκ°νμ κΈ°μ΄μ μΈ λ΄μ©μ νμ΅νκ³ , EDAμ λμκ³Ό μ’
λ₯μ λ°λ₯Έ EDA μ νμ νμ
νμμ΅λλ€. λͺ¨λΈλ§μ μν΄ λ°μ΄ν°λ₯Ό μμ§νλ μ μΉλ¦¬ κ³Όμ μ μ΄ν΄νκ³ , νμ΄μ¬μ ν΅ν΄ μ μ²λ¦¬μ μκ°ν κ³Όμ μ μ€μ΅νμμ΅λλ€.
κ΅μ‘ μΈμ
[ν΅κ³]
νμ΄μ¬ κ΅μ‘ μΈμ
μ΄ν, μ΄ 4νμ ν΅κ³ μΈμ
(ν΅κ³, νκ·, λΆλ₯)μ ν΅ν΄ λ°μ΄ν° λΆμμ κΈ°λ°μ΄
λλ κΈ°μ΄μ μΈ ν΅κ³ κ°λ
κ³Ό λ¨Έμ λ¬λ(νκ·, λΆλ₯)μ μ΄λ‘ μ κΈ°λ°μ νμ΅νμ΅λλ€.
Session 3. ν΅κ³
λ³Έ μΈμ
μμλ κΈ°μ ν΅κ³μ μΆλ¦¬ ν΅κ³, λ€μν λΆν¬λ€κ³Ό κ°μ€ κ²μ μ μ μ°¨ λ° ν΄μ λ± ν΅κ³μ κ΄λ ¨λ λ€μν μ΄λ‘ μ κΈ°λ°μ λν΄ νμ΅νμ΅λλ€.
Session 4. νκ· κΈ°μ΄
λ³Έ μΈμ
μμλ λ¨μ μ ν νκ·, λ€μ€ μ ν νκ·μ μ΄λ‘ μ κΈ°λ°μ λν΄ νμ΅νκ³ μ€μ΅ν΄λ³΄λ μκ°μ κ°μ‘μ΅λλ€.
Session 5. νκ· μ¬ν
λ³Έ μΈμ
μμλ λ€μ€ μ ν νκ·μ κΈ°λ³Έ κ°μ μ κ²μ ν΄ λ³΄κ³ νκ· λΆμμ νκ° λ°©λ²μ λν΄ μμ보μμ΅λλ€. κ·Έλ¦¬κ³ λΉμ ν νκ· λͺ¨λΈμ νμ΅ν λ€ μ€μ λ°μ΄ν°μ μ μ©ν΄ 보μμ΅λλ€.
Session 6. λΆλ₯
λΆλ₯μ κ°λ
, μ’
λ₯, νκ° μ§νμ λν΄ μ΄ν΄νκ³ νμ΄νΌνλΌλ―Έν° μ΅μ νλ₯Ό νμ΅νμ΅λλ€. κ·Έλ¦¬κ³ μ½λλ₯Ό ν΅ν΄ λΆλ₯ λͺ¨λΈμ ꡬννκ³ νκ°ν΄ 보μμ΅λλ€.
μ΄λ€ νμ΄νΌνλΌλ―Έν°(Hyperparameters)λ₯Ό μ€μ νλλμ λ°λΌ λͺ¨λΈ μ±λ₯(Score)κ° λ¬λΌμ§λ€.
Session 7. κ΅°μ§ν
κ΅°μ§νμ λͺ©νμ νΉμ§μ μ΄ν΄λ³΄κ³ κ³μΈ΅μ κ΅°μ§νμ λΉκ³μΈ΅μ κ΅°μ§νμ ꡬλΆμ λν΄ νμ΅νμμ΅λλ€.
κ³μΈ΅μ κ΅°μ§νμ λΉκ³μΈ΅μ κ΅°μ§νμ κ°λ
κ³Ό λΆμ λ°©λ²μ λν΄ κ΅¬μ²΄μ μΌλ‘ μ΄ν΄λ³΄κ³ κ° κ΅°μ§νμ μνλ κ΅°μ§ν λ°©λ²λ‘ μ 곡λΆνμ΅λλ€.
κ³μΈ΅μ κ΅°μ§ν | λΉκ³μΈ΅μ κ΅°μ§ν | |
λ°©λ²λ‘ | μμ§λ², λΆν λ² | K-means, GMM, DBSCAN |
μ₯μ | λ°μ΄ν°κ° μμ μ μ κ²½μ° μμ μ μΌλ‘ μ¬μ© | κ³μμ μΌλ‘ κ΅°μ§μ μ¬κ΅¬μ±&ν λΉ
λ°μ΄ν°μ μκ° λ§μ κ²½μ° μ μ© |
λ¨μ | ν λ² νμ±λ κ΅°μ§μ λ€μ νλ³νμ§ μμ | μ΄κΈ° κ΅°μ§μ μν₯μ ν¬κ² λ°μ λΆμμ ν κ΅°μ§μ μ 곡ν κ°λ₯μ± |
κ΅°μ§ν μκ³ λ¦¬μ¦μ νκ° λ°©λ²μ λν΄ μμ보μμ΅λλ€. μΈλΆνκ°λ μ΄λ―Έ μ ν΄μ§ μ λ΅μ κΈ°μ€μΌλ‘ κ΅°μ§ν μκ³ λ¦¬μ¦μ μ νλλ₯Ό μΈ‘μ νλ λ°©μμΌλ‘, μκ³ λ¦¬μ¦μ μ±λ₯μ κ²μ¦νλ λ° μ¬μ©λλ λ°λ©΄, λ΄λΆνκ°λ μ λ΅ μμ΄ κ΅°μ§ λ΄ λ°μ΄ν°μ μμ§μ±κ³Ό κ΅°μ§ κ°μ λΆλ¦¬λλ₯Ό νκ°νλ λ°©μμΌλ‘, μ£Όλ‘ Dunn Indexλ Silhouette κ³μμ κ°μ μ§νλ₯Ό ν΅ν΄ μ΄λ€μ§λ€λ μ μ μ΄ν΄λ³΄μμ΅λλ€.
Session 8. μΆμ² μμ€ν + μ°κ΄ λΆμ κΈ°μ΄
μΆμ² μμ€ν
μ κ°λ
κ³Ό λΆλ₯λ₯Ό νμ΅νλ©° μ½ν
μΈ κΈ°λ° νν°λ§κ³Ό λͺ¨λΈ κΈ°λ° νμ
νν°λ§μ κ°λ
μ μ΄ν΄νκ³ , Python μ½λλ‘ κ΅¬ννλ λ°©λ²μ μ΅νμ΅λλ€.
μ§μ§λ, μ λ’°λ, ν₯μλμ κ°λ
μ μ΄ν΄νκ³ μ€μ μ λ΅ μ립μ μ΄λ€ λ°©μμΌλ‘ νμ© κ°λ₯νμ§ μ μ μμ΅λλ€. Apriori / FP Growth μκ³ λ¦¬μ¦ νλ‘μΈμ€λ₯Ό μ΄ν΄νκ³ , Python μ½λλ‘ κ΅¬ννλ λ°©λ²μ μ΅ν μ μμμ΅λλ€.
Session 9. λ°μ΄ν°λ‘ 보λ λΉμ¦λμ€ μν©
λ°μ΄ν°λ₯Ό ν΅ν΄ λΉμ¦λμ€ μν©μ μ΄ν΄νλ κ²μ λͺ©νλ‘ νμμ΅λλ€. Data-Driven Decision Makingμ λν΄ μ΄ν΄νλ©°, μ€μ΅μ ν΅ν΄ AARRR νλ μμν¬λ₯Ό μ¬μ©ν΄ 보μμ΅λλ€.
μ¬ν μΈμ
κ΅μ‘ μΈμ
μ λ§μΉ νμλ μ΄ 9νμ μ¬ν μΈμ
μ μ§ννμ΅λλ€.
λ°μ΄ν° μ¬μ΄μΈμ€ μ¬ν μ£Όμ μ€ κ΄μ¬ λΆμΌμ λ°λΌ νμ ꡬμ±νμκ³ , κ° νμ νμ΅ μλ£μ μ€μ΅ κ³Όμ λ₯Ό μ μνμ¬ μ£Ό 2ν μ κ· μΈμ
μ μ§ννμ΅λλ€.
Session 1. μμλΈ&AI κΈ°μ΄
λ³Έ μΈμ
μμλ μ¬λ¬ κ°μ κ°λ³ λΆλ₯ λͺ¨λΈλ€μ κ²°ν©ν΄ νλμ λΆλ₯ λͺ¨λΈλ³΄λ€ λ μ’μ μ±λ₯μ λ΄λ μμλΈμ λν΄ κ³΅λΆνμ΅λλ€. μ’
λ₯μ λ°λΌ 보ν
(Voting), λ°°κΉ
(Bagging), λΆμ€ν
(Boosting), μ€ννΉ(Stacking)μ ꡬλΆνμκ³ , Random Forest, XGBoost, LightGBM λ±μ λͺ¨λΈλ€μ λν΄ μμ보μμ΅λλ€.
μμλΈ κ΅¬μ‘°λ
λλ€ ν¬λ μ€νΈμ νλ‘μΈμ€
LightGBM μκ³ λ¦¬μ¦ μκ°
μ€ννΉ μκ³ λ¦¬μ¦μ μμλ³΄κ³ , K ν΄λ κ΅μ°¨ κ²μ¦μ ν΅ν΄ νμ΅κ³Ό κ²μ¦μ λ°λ³΅μ μΌλ‘ μννλ λ²μ μμ보μμ΅λλ€.
μ€ννΉ μκ³ λ¦¬μ¦
K ν΄λ κ΅μ°¨κ²μ¦
μμλΈμ ν¬ν¨ν 볡μ‘ν λͺ¨λΈμ ꡬ쑰μ μΈ νκ³μΈ λΈλλ°μ€ λ¬Έμ μ, μ΄λ₯Ό ν΄κ²°νκΈ° μν LIME μκ³ λ¦¬μ¦μ λν΄ μμ보μμ΅λλ€.
LIME μκ³ λ¦¬μ¦μ ν΅ν λΈλλ°μ€ ν΄μ νλ‘μΈμ€
λ°μ΄ν°μμ μ€μ€λ‘ νΉμ§μ μΆμΆνλ λ₯λ¬λμ ν΅μ¬ μ리λ₯Ό λ°νμΌλ‘, CNNκ³Ό RNN/Transformer κΈ°μ μ΄ λ°μ ν΄ μ¨ μμ¬μ κ³Όμ μ νμ΅νμ΅λλ€. νΉν BERTμ GPTλ‘ λνλλ μΈμ΄ λͺ¨λΈμ μ§νμμ λμκ°, μΆλ‘ κ³Ό νλκΉμ§ μννλ Agent AIμ λ©ν°λͺ¨λ¬ κΈ°μ λ± μ΅μ AI μνκ³μ μ λ°μ μΈ νλ¦μ μ΅νμ΅λλ€.
νλͺ© | λ¨Έμ λ¬λ (Machine Learning) | λ₯λ¬λ (Deep Learning) |
ν¬ν¨ κ΄κ³ | μΈκ³΅μ§λ₯μ ν λΆμΌ | λ¨Έμ λ¬λμ νμ λΆμΌ |
ν΅μ¬ κΈ°μ | λ€μν μκ³ λ¦¬μ¦ (μμ¬κ²°μ λ무, SVM, K-NN λ±) | μ¬μΈ΅ μ κ²½λ§ (Deep Neural Network) |
νΉμ§ μΆμΆ | μ¬λμ΄ μ§μ νΉμ§μ μ μνκ³ μΆμΆ (μλ) | λ°μ΄ν°μμ νΉμ§μ μ€μ€λ‘ νμ΅νκ³ μΆμΆ (μλ) |
λ°μ΄ν° μ | μλμ μΌλ‘ μ μ λ°μ΄ν°λ‘λ νμ΅ κ°λ₯ | λλμ λ°μ΄ν°κ° νμνλ©°, λ§μμλ‘ μ±λ₯ ν₯μ |
μ±λ₯ 곑μ | λ°μ΄ν°κ° μ μ λ ν¨μ¨μ | λ°μ΄ν°κ° λ§μμλ‘ λμ μ±λ₯ λ°ν |
μ£Όμ νμ© | μμΉ μμΈ‘, λΆλ₯(λ¨μ ν¨ν΄), μ€νΈ λ©μΌ λΆλ₯ λ± | μ΄λ―Έμ§Β·μμ±Β·μμ°μ΄ μ²λ¦¬, μΌκ΅΄ μΈμ, μμ± λΉμ λ± |
Session 2~4. λ₯λ¬λ
μΈκ³΅μ§λ₯(AI), λ¨Έμ λ¬λ, λ₯λ¬λμ κ°λ
μ μ΄νΌκ³ λΉμ ν λ°μ΄ν°μ λν΄ μκ°νμ΅ νλ λ₯λ¬λμ λν΄ κ³΅λΆνμ΅λλ€. μΈκ³΅μ κ²½λ§(Artificial Neural Network, ANN) λͺ¨λΈ λ΄ μμ¬κ²°μ μ리λ₯Ό μ΄νΌκ³ νΌμ
νΈλ‘ μ ꡬ쑰μ λ€μΈ΅νμ μ κ²½λ§μΌλ‘μ μ°κ²°, ꡬ체μ μΈ μ κ²½λ§ νμ΅ λͺ¨λΈμ λ€λ£¨μμ΅λλ€
ν©μ±κ³± μ κ²½λ§(CNN) λͺ¨λΈμ μλ μ리μ λνμ μΈ CNN μν€ν
μ²λ₯Ό μ΄ν΄λ³΄κ³ μ΄λ―Έμ§ λ₯λ¬λ μμ© λ°©λ²μ μμ보μμ΅λλ€.
μμ°¨ λ°μ΄ν°μ νΉμ±μ μ΄ν΄νλ©°, μμ°¨ λ°μ΄ν°λ₯Ό λ€λ£¨κΈ° μν΄ λ±μ₯ν RNN, LSTM, GRU, Seq2Seqμ ꡬ쑰μ μ리, νκ³λ₯Ό μμ보μμ΅λλ€.
RNN / LSTMμ νκ³μ λ°λ₯Έ Attentionμ λ±μ₯ λ°°κ²½μ μμ보며 νΈλμ€ν¬λ¨Έμ ꡬ쑰μ Multi-Head Attentionμ΄ μ΄λ»κ² λμνλμ§ μ΄ν΄νμμ΅λλ€.
βAttention is All You Need(2017)β λ
Όλ¬Έμ κΈ°λ°μΌλ‘ νΈλμ€ν¬λ¨Έμ μν€ν
μ²μ λν΄ μ΄ν΄νμμ΅λλ€.
Session 5. μΈμ΄ λͺ¨λΈ&μμ± λͺ¨λΈ
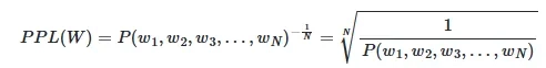
ν΅κ³μ μΈμ΄ λͺ¨λΈ(SLM)μ κΈ°λ°μ΄ λλ λΆν¬ κ°μ€μ λν΄ νμ΅νμ΅λλ€. SLMμ μνλ N-GRAMκ³Ό Perplexityλ₯Ό μ΄ν΄νλ λ° νμν μμκ³Ό μλ μ리μ λν΄ μ΄ν΄λ³Έ ν, λ₯λ¬λ κΈ°λ° μΈμ΄ λͺ¨λΈμΈ LLMμ μλ λ°©μκ³Ό μ¬μ© μ¬λ‘λ₯Ό νμ΅νμ΅λλ€.
μ°μλ nκ°μ λ¨μ΄ λ¬Άμμ μλ―Ένλ N-Gram
Perplexityμ μ μμ μμ
μΈμ΄ λͺ¨λΈ κ΄κ³λ
νΈλμ€ν¬λ¨Έλ₯Ό νμ©ν μΈμ½λ, λμ½λ κΈ°λ°μ λͺ¨λΈμΈ BERTμ GPTλ₯Ό ꡬλΆνμ¬ νμ΅νμμ΅λλ€.
BERT λͺ¨λΈμμμ self-Attention
GPT-1μ μν€ν
μ²
LLMμ νκ³μΈ νκ° λ¬Έμ 극볡μ μν΄ μΈλΆ μ§μ λ² μ΄μ€λ₯Ό μ°κ²°ν΄ λͺ¨λΈμ μ±λ₯μ λμ΄λ RAGμ, λͺ¨λΈμ΄ λ¬Έμμ μ λ’°λλ₯Ό μ€μ€λ‘ νλ¨νκ³ νμ©νλλ‘ νλ ¨νλ CAGμ λν΄ νμ΅νμ΅λλ€. LLMμ νμ©νλ κ°λ° νλ μμν¬μΈ λ체μΈμ λν΄μ μμ보μμ΅λλ€.
볡μ‘ν λ‘μ§ κ΅¬νμ΄ μ΄λ €μ΄ λ체μΈμ νκ³λ₯Ό 극볡ν λκ·Έλνμ λμ€λ―Έμ€μ λν΄μλ μ΄ν΄λ³΄μμ΅λλ€.
RAGμ CAG ꡬ쑰 λΉκ΅
λμ²΄μΈ κ΅¬μ‘°
λκ·Έλν ꡬ쑰
μ£Όμ΄μ§ νμ΅ λ°μ΄ν°λ₯Ό νμ©ν΄ λΆν¬λ₯Ό λ°λ₯΄λ μ μ¬ν λ°μ΄ν°λ₯Ό μμ±νλ μμ± λͺ¨λΈ μ€ VAE, GAN, νμ° λͺ¨λΈμ ν΅μ¬ μν€ν
μ²μ λ°μ΄ν° λΆν¬λ₯Ό μ΅νμ΅λλ€.
λΆλ₯ λͺ¨λΈκ³Ό μμ± λͺ¨λΈμ μ°¨μ΄μ
μμ± λͺ¨λΈμ λΆλ₯
AE λͺ¨λΈμ ꡬ쑰
VAE λͺ¨λΈμ ꡬ쑰
GAN, νμ° λͺ¨λΈμ ꡬ쑰
Session 6. μΆμ²μμ€ν μ¬ν
κ΅μ‘ μΈμ
μμ νμ΅ν μΆμ²μμ€ν
λ΄μ©μ 볡μ΅ν ν, κΈ°μ‘΄ νμ
νν°λ§μ νκ³μΈ ν¬μμ±κ³Ό νμ₯μ± λ¬Έμ λ₯Ό ν΄κ²°νλ μ μ¬ μμΈκ³Ό νλ ¬ λΆν΄λ₯Ό μ΅νμ΅λλ€.
μ μ¬ μμΈκ³Ό νλ ¬ λΆν΄
νλ ¬ λΆν΄ μ’
λ₯
μ΅κ·Ό μΆμ²μμ€ν
μ λ°©ν₯μ±μΈ VAE, GNN λ± λ₯λ¬λ μν€ν
μ²λ‘ νμ₯νμ¬ λ³΅μ‘ν λΉμ ν κ΄κ³μ νλ μμλ₯Ό νμ
νλ λ°©λ²μ νμ΅νμ΅λλ€.
μ΅κ·Ό μΆμ²μμ€ν
μ λ°©ν₯μ±
VAE κΈ°λ° νμ
νν°λ§
VAE λͺ©μ ν¨μ
GNNμ μλ νλ‘μΈμ€
LightGCNμ μν€ν
μ²
λ₯λ¬λ μν€ν
μ² μ€ μνμ€ λ΄μ λ¬Έλ§₯κ³Ό ν΅μ¬ μλλ₯Ό νμ
νλ λ° κ°λ ₯ν νΈλμ€ν¬λ¨Έ ꡬ쑰λ₯Ό μΆμ²μμ€ν
μ μ μ©ν SASRecκ³Ό BERT4Recμ μ리λ₯Ό νμ΅νμ΅λλ€. λν, μΆμ²μ μΈμ΄μ λ¬Έμ λ‘ λ³νμν€κ³ μλ LLM κΈ°λ° μΆμ²μμ€ν
μ λν΄ μ΄ν΄λ³΄μμ΅λλ€.
SASRecμ μ리
BERT4Recμ μ리
Session 7~8. μκ³μ΄
μκ³μ΄ λ°μ΄ν°μ μ μ, μ’
λ₯μ ν¨κ» μκ° μμ‘΄μ±, μκΈ°μκ΄, μΆμΈ, κ³μ μ± κ°μ ν΅μ¬ ν΅κ³μ νΉμ±μ νμ΅νμ΅λλ€. μκ³μ΄μ μΆμΈ, κ³μ μ±, μν, λΆκ·μΉ μμΈμΌλ‘ λΆν΄νλ κΈ°λ²μ μ΅νκ³ , λΆμμ μ μ μ‘°κ±΄μΈ μ μμ±(Stationarity)μ κ°λ
κ³Ό μ€μμ±μ λν΄ νμ΅νμμ΅λλ€. λν, μκ°μ νμ λ° ν΅κ³ κ²μ μ ν΅ν΄ μ μμ±μ νλ¨νκ³ , Pandasλ₯Ό νμ©ν΄ λ°μ΄ν°λ₯Ό λ€λ£¨λ©° μ μμ±μ ν보νλ λ€μν λ°©λ²λ€μ μ΄ν΄λ³΄μμ΅λλ€.
μκ³μ΄μμμ μΆμΈμ±, κ³μ μ±, μ£ΌκΈ°μ±, λΆκ·μΉ μμΈ
μκ³μ΄μμμ μ°¨λΆ
μκ³μ΄ λ°μ΄ν°λ?
(1) μκΈ°μκ΄μ±(Autocorrelation)
(2) λΉμ μμ±(Non-stationarity)
(3) κ³μ μ±(Seasonality)
λ‘κ·Έ λ³νμ ν΅ν λΆμ° μμ ν
λ¨λ³λ/λ€λ³λ μκ³μ΄ λͺ¨λΈμ μ΄ν΄λ³΄μμ΅λλ€. λ¨λ³λ μκ³μ΄ λͺ¨λΈμ μμ μ / λΆμμ μκ³μ΄ λͺ¨λΈλ‘ ꡬλΆνμ¬ AR, MA, ARMA / ARIMA, SARIMAμ λν΄ νμ΅νμ΅λλ€. VARμ ν΅ν΄ λ€λ³λ μκ³μ΄ λΆμμ 곡λΆνκ³ , RNN, Transformer κΈ°λ°μ λ₯λ¬λ λͺ¨λΈκ³Ό Foundation modelμ λν΄ μμ보μμ΅λλ€.
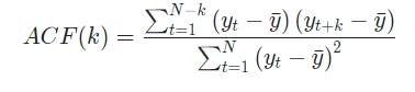
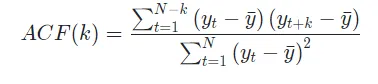
μκΈ°μκ΄ν¨μ(Auto Correlation Function, ACF)
VAR λͺ¨λΈ μμ
λΆλΆμκΈ°μκ΄ν¨μ(Partial ACF, PACF)
λ€μ€ μμ μκ³μ΄ μμΈ‘ λͺ¨λΈ : TFT
Session 9. AI νΈλ λ
μ»΄ν¨ν° ꡬ쑰μ νλμ¨μ΄μ μ§νκ° AI μ±λ₯ ν₯μμ λ―ΈμΉ μν₯μ CPUβGPUβNPUβPIM μμΌλ‘ νμ
νμ΅λλ€.
CPU, GPU, NPU λΉκ΅
λ©λͺ¨λ¦¬ λ΄λΆμ μ°μ° μ₯μΉλ₯Ό μ¬μ΄, λ°μ΄ν°μ μ μ₯ μμΉμμ λ°λ‘ κ³μ°νλ PIM
λΉ
ν
ν¬ κΈ°μ
μΌλ‘ μ΅κ·Ό 5κ°λ
AIμ νΈλ λ νλ¦μ νμ
νμ΅λλ€. μμ±μμ λμκ° μμ¨μ μΌλ‘ νλ¨νκ³ νλνλ Agentic AI μλλ‘ μ μ΄λ μ΅μ νΈλ λλ₯Ό νμ΅νμ΅λλ€.
νΉν AI μμ΄μ νΈμ ν΅μ¬ κ΅¬μ± μμμΈ λͺ¨λΈ, λꡬ, MCPμ 'μκ°-λμ-κ΄μ°°'λ‘ μ΄μ΄μ§λ μν¬νλ‘μ°λ₯Ό ν΅ν΄ μ€λ¬΄ μ€μ¬μ AI νμ©λ²μ μ΅νμ΅λλ€.
λ€ κ°μ§ κΈ°μ μ΄ μμ¬ μλ νμ¬μ AI λ°μ μν©
AI Agentμ ν΅μ¬ κ΅¬μ± μμ
AI Agentμ μν¬νλ‘μ°: μκ°-λμ-κ΄μ°°μ μνμ κ±°μΉ μ΅μ’
λ΅λ³ μμ±






















































































